欢迎进入山东岱圣建设有限公司官方网站!
二维码

VIP邮箱

山东岱圣建设有限公司 

地址:泰安市岱岳经济开发区 

电话:0538-8365877 

传真0538-8365877 

邮箱:daishengren@vip.163.com

  您的当前位置:首 页>> 行业资讯

万华化学公司研究者提出一种异步电机定子绕组匝间短路的诊断方法

发布时间:[2024-7-15 9:59:57]    浏览量:579次

为解决定子绕组匝间短路故障诊断中常见异常运行工况干扰的问题,万华化学(福建)有限公司的张俊华在2024年第3期《电气技术》上撰文,提出一种基于判据融合的异步电动机定子绕组匝间短路故障诊断方案。首先,考虑到故障特征之间的关联性,提出一种以电流特征为主、电压特征为辅的融合判据;然后,通过融合判据对定子绕组匝间短路故障及故障相进行诊断;最后,通过仿真实验证明了该方案的有效性。

异步电动机广泛应用于工业、农业及国防领域,其一旦发生故障,就可能会导致设备本身损坏,甚至造成生产及相关作业停工,产生巨大经济损失。异步电动机的主要故障类型包括定子故障、轴承故障、转子故障。

据统计,定子绕组匝间短路故障在所有故障中的占比达到30%。早期定子绕组匝间短路故障的特征较微弱,不会触发保护动作,随着故障程度的加深,可能引起接地短路或相间短路。因此,及时诊断早期定子绕组匝间短路故障并预警,具有重要意义。

目前,定子绕组匝间短路故障诊断方案主要有基于故障特征和基于模式识别两大类。基于故障特征的诊断方法主要是通过提取与定子绕组匝间短路相关的故障特征,包括电流时域、电流频谱分析和谐波、派克变换、纵向零序电压、接地电阻值、温度场分布、磁链差矢量、模态分量图信号指标等,来实现故障诊断。

但这类方法存在以下问题:依赖单个故障特征或几个孤立的故障特征,对其他具有类似特征的异常运行工况考虑不足,容易造成误判;多采用复杂的现代信号数据处理和频谱分析技术,运算成本高。

基于模式识别的诊断方法主要通过对信号进行特征提取后,利用模式识别算法建立特征与故障之间的映射关系,从而实现对定子绕组匝间短路故障的诊断,其实现方法主要有:融合多种现代信号处理方法和模式识别建立诊断模型;融合多种机器学习算法进行故障诊断;基于电动机数学模型的模型匹配识别方法;采用基于余弦相似性的状态矩阵构建故障监测模型;在模式识别的基础上融合D-S证据理论等多源信息融合算法,以提高诊断的准确性。

但这类方法构建的诊断模型极其依赖训练数据,不同的训练数据可能会形成不同的模型,因此现场适用性差;此外,这类方法多采用复杂的模式识别算法,计算量巨大。

针对以上问题,本文提出一种基于判据融合的异步电动机定子绕组匝间短路故障诊断方法。该方法基于数学模型和仿真数据分析,获得以电流特征为主、电压特征为辅的融合判据。该融合判据与定子绕组匝间短路故障具备强相关性,且能够可靠鉴别其他常见的异常运行工况,对算力要求低,具备良好的应用价值。

1 故障仿真模型

为选取合理的定子绕组匝间短路故障特征,本文在文献的基础上建立ab静态两相坐标系下的异步电动机定子绕组同相匝间短路故障数学模型,该模型以A相电压与b轴重合为三相到两相的变换基础。




式2-7

2 故障融合判据

2.1 故障特征分析

为选取有效故障特征,本文以定子A相绕组匝间短路为例,基于故障数学模型在Simulink中建立定子绕组匝间短路故障仿真模型,模型参数见表1

在仿真过程中,假设定子每相绕组有42匝,则表征故障严重程度的短路系数m与短路匝数的关系见表2

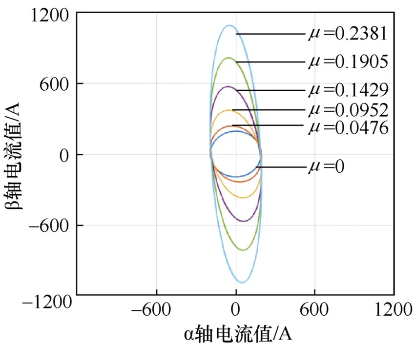
为了直观地表现定子绕组匝间短路故障的特征,本文选取短路系数m值分别为00.047 60.09520.14290.19050.2381进行仿真,模拟匝间短路逐步加深的过程。仿真结果表明,发生匝间短路后,定子三相电流幅值和相位、定子三相电流Park变换结果均发生明显变化。

仿真结果如图2~图5所示,从图中可以看出,当发生定子绕组匝间短路时,定子三相电流幅值和相位的平衡均被打破,其Park矢量轨迹由正圆变为椭圆,扩展Park矢量模出现二次谐波分量。以上仿真结果表明,该故障模型能有效模拟定子绕组匝间短路故障的特征,为下面的故障特征分析提供了依据。

表1 模型参数

表2 短路系数与短路匝数的关系

                            图2 匝间短路电流幅值变化趋势

图3 匝间短路电流相位差变化趋势

                                     图4 匝间短路电流Park矢量轨迹

                                         图5 匝间短路电流扩展Park矢量二次谐波分量


进一步分析图2和图3可得,在某相定子绕组发生匝间短路故障时,其三相电流幅值随着故障程度的加深而增大,其中故障相电流幅值最大,其滞后相电流幅值次之,其超前相电流幅值最小。

同时,定子三相电流相位差也发生明显变化,具体为故障相与其滞后相、故障相与其超前相的相位差随故障程度加深逐渐向180°靠近,而滞后相与超前相的相位差则逐渐向0°靠近。

进一步分析图4和图5可得,定子三相电流Park矢量轨迹长短轴比值和二次谐波分量均随故障程度的加深而增大。

综合以上分析可得,定子三相电流幅值、相位差和Park矢量轨迹长短轴与定子绕组匝间短路故障及其严重程度有强相关性。因此,可以选取上述定子电流特征作为定子绕组匝间短路故障诊断的主要判据。

然而,电动机运行的某些异常工况也会产生上述类似特征,如不进行可靠辨别,将导致误判。包括电动机起动过程、电压不平衡、定子外单相接地短路、定子外两相短路、电动机与其他设备之间的高阻故障等在内的典型工况均会造成定子电流幅相不平衡和Park矢量轨迹椭圆化。

因此,只通过定子电流特征无法在这些具有相似特征的故障中准确识别出定子绕组匝间短路故障。考虑到这些异常运行工况与定子绕组匝间短路故障下的定子电压表现出一定的差异,本文在定子电流特征中加入定子电压特征作为辅助判据。

2.2 故障判据选取

本文选取定子电流幅值、相位差和Park矢量轨迹长短轴比值作为主要判据,选取定子电压幅值特征作为辅助判据,共形成3个融合判据。

1)幅值融合判据

定子绕组匝间短路故障及常见异常运行工况均会打破定子电流的平衡,但定子电流之间的幅值关系和幅值相别排序会表现出特异性。同时,定子电压幅值与电流幅值的关联性也具有一定的差异。

基于电流幅值大小及排序、电流幅值与电压幅值之间的关联性和差异性,将电流幅值判据与电压幅值判据进行融合,得到融合判据一。该判据由一个包含6个元素的向量表示,向量的元素包括电流幅值相等个数、电压幅值相等个数、电流幅值排序、最大值相、最小值相、最值相别与电压一致性,其中幅值相等判断要有一定的裕度,需要考虑装置的测量精度和电动机制造工艺带来的固有影响。

该判据中电流幅值相等个数、电流幅值排序、最大值相和最小值相用于表征故障时定子电流幅值特征之间的关联性;电压幅值相等个数、最值相别与电压一致性则用于表征定子电流幅值特征与电压幅值特征之间的关联性。

2)相位差融合判据

定子绕组匝间短路故障及常见异常运行工况均会影响定子电流相位的平衡性。基于定子电流相位差大小及其排序关系与定子电流幅值大小的密切关联性,将电流相位差判据与电流幅值判据融合后得到融合判据二。该判据由一个包含4个元素的向量表示,向量的元素包括等于120°个数、最大相位差相、电流幅值排序、相位差最大值相与电流幅值一致性,其中等于120°的判断同样要考虑装置测量精度和电动机制造工艺带来的固有影响。

该判据中,等于120°个数、最大相位差相表征定子电流相位特征;电流幅值排序、相位差最大值相与电流幅值一致性则表征相位特征与定子电流幅值大小的关联性。

3Park矢量轨迹融合判据

发生定子绕组匝间短路故障和其他常见异常运行工况时,定子电流Park变换矢量模均出现二次谐波分量,而某些异常运行工况在Park矢量轨迹长短轴比值大小方面具有一定的特异性。同时,考虑到Park矢量轨迹是定子绕组匝间短路故障的一个强相关性判据,因此针对Park变换,选取其轨迹图长短轴比值判据为主,以电流和电压幅值判据为辅进行融合,作为融合判据三。该判据由一个含3个元素的向量表示,向量的元素包括Park矢量轨迹长短轴比值、电流幅值相等个数、电压幅值相等个数。

3 故障诊断方案

本文通过3个融合判据对定子绕组匝间短路故障进行诊断,并将相应的3个诊断结果进一步融合,实现对定子绕组匝间短路故障的最终诊断和对故障相的识别。

3.1 幅值融合判据诊断

基于幅值融合判据的故障诊断过程如下。

1)配置判据向量中各元素的赋值规则,具体如下。

1)电流幅值相等个数和电压幅值相等个数共有3种结果:三相幅值均相等时值为3,两相幅值相等时值为2,三相幅值均不相等时值为0

2)电流幅值排序共有7种结果:电流幅值相等个数值为32时电流幅值排序值为0;电流幅值相等个数值为0时,电流幅值排序ABC值为1BCA值为2CAB值为3ACB值为4BAC值为5CBA值为6

3)最大值相和最小值相指电流相别,其取值各有4种结果:如果电流幅值相等个数值为3时,最大值相和最小值相值为0;电流幅值相等个数值为2时,如果仅有最大值相,则最大值相取值为A相为1B相为2C相为3,最小值相值为0;电流幅值相等个数值为2时,如果仅有最小值相,则最小值相取值为A相为1B相为2C相为3,最大值相值为0;电流幅值相等个数值为0时,同时有最大值和最小值,最大值相取值为A相为1B相为2C相为3,最小值相取值为A相为1B相为2C相为3

4)最值相别与电压一致性共有5种结果,其判断规则如下:幅值大小相序不一致时值为0,幅值大小相序排序均为0时值为1,有且仅有最小值相相等时值为2,有且仅有最大值相相等时值为3,幅值大小相序一致时值为4

2)根据赋值规则,结合定子绕组匝间短路故障的对应特征,设置发生定子绕组匝间短路故障时的理论值为[0 3 13 13 13 0]

3)根据赋值规则计算当前状态的幅值融合判据向量的各元素值,对比其是否与理论值相符。如果相符,则判断是定子绕组匝间短路故障,对诊断结果赋值为1;否则诊断结果赋值为0

3.2 相位差融合判据诊断

基于相位差融合判据的诊断过程如下。

1)配置判据向量中各元素的赋值规则,具体如下。

1)等于120°个数共有3种结果:三个相位差均为120°时值为3,仅一个为120°时值为1,三个相位差均不为120°时值为0

2)最大相位差相共有4种结果:等于120°个数值为3时最大相位差相值为0;等于120°个数值为10时,最大相位差值AB相最大则值为1BC相最大则值为2CA相最大则值为3

3)电流幅值排序与幅值融合判据向量中的值一致。

4)相位差最大值相与电流幅值一致性共有4种结果,其赋值规则为:最大值相与电流幅值一致且三相电流幅值相等则值为1,最大值相与电流幅值一致且两相电流幅值相等则值为2,最大值相与电流幅值一致且三相电流幅值不相等则值为3,其他情况则值为0

对于一致性的判断,最大相位差与电流幅值的关系符合以下情况之一即判断为一致:电流幅值均不相等时,幅值最小相外其他两相相位差最大;两相电流幅值相等且有最大值时,幅值最大值相与其滞后相的相位差最大。

2)根据赋值规则,结合定子绕组匝间短路故障的对应特征,设置发生定子绕组匝间短路故障时的理论值为[0 13 13 3]

3)根据赋值规则计算当前状态的相位差融合判据向量中各元素的值,并与理论值对比。如果一致,则诊断为定子绕组匝间短路故障,诊断结果赋值为1;否则诊断结果赋值为0

3.3 Park矢量轨迹融合判据诊断

基于Park矢量轨迹融合判据诊断的过程如下。

1)配置判据向量中各元素的赋值规则,具体如下。

1Park矢量轨迹长短轴比值共有3种结果:长短轴比值为1时值为0,比值大于1小于104时值为1,比值大于等于104时值为2

2)电流幅值相等个数和电压幅值相等个数与幅值融合判据向量中的值一致。

2)根据赋值规则,结合定子绕组匝间短路故障的对应特征,设置发生定子绕组匝间短路故障时的理论值为[1 0 3]

3)计算当前状态的Park矢量轨迹融合判据向量中各元素值,并与理论值对比。如果一致,则诊断为定子绕组匝间短路故障,诊断结果赋值为1,否则结果为0

3.4 诊断结果融合

3个融合判据的诊断结果进一步融合,对定子绕组匝间短路故障及故障相进行综合判断,具体过程如下。

1)故障类型诊断:若3个融合判据的诊断结果均为1,则当前状态诊断为定子绕组匝间短路故障;否则诊断为其他异常工况。

2)故障相诊断:若当前状态诊断为定子绕组匝间短路故障,则根据电流幅值最大相和电流相位差最大相判断故障相。具体的诊断方法如下。

1)电流幅值最小值为C相,且电流相位差最大相为AB相时,故障相为A相。

2)电流幅值最小值为A相,且电流相位差最大相为BC相时,故障相为B相。

3)电流幅值最小值为B相,且电流相位差最大相为CA相时,故障相为C相。

4 故障诊断仿真

本文通过对不同故障和异常工况进行诊断来分析本文所提故障诊断方案的有效性,具体过程如下。

1)根据表1配置电动机基本参数,通过仿真模型获取当前定子瞬时电流和瞬时电压数据,计算对应的定子电流幅值、相位差、定子电压幅值、Park矢量轨迹长短轴比值。定子绕组匝间短路故障和常见异常工况下的计算结果见表3


表3 定子绕组匝间短路故障和异常工况下的计算结果


2)基于计算得到的定子电流幅值、相位差、定子电压幅值、Park矢量轨迹长短轴比值,根据融合判据诊断规则,诊断当前状态对应的幅值、相位差、Park矢量轨迹3个融合判据。定子绕组匝间短路故障和异常工况的3个融合判据诊断结果见表4

表4 3个融合判据诊断结果


3)获取3个融合判据诊断结果后,根据诊断结果融合方案,通过与理论值比较获取融合判据诊断结果。若融合判据诊断结果为[1 1 1],则说明当前为定子绕组匝间短路故障,否则当前为异常工况。融合判据诊断结果及故障类型诊断结果见表5

表5 融合判据诊断结果及故障类型诊断结果

4)在诊断出定子绕组匝间短路故障后,基于融合判据诊断时计算的最小幅值相和最大相位差相,实现对故障发生相的区分,故障相诊断结果见表6

表6 故障相诊断结果

以上仿真结果证明了融合判据的正确性,并验证了该故障诊断方案在识别定子绕组匝间短路故障和故障相时的有效性。

5 结论

本文提出了一种基于判据融合的异步电动机定子绕组匝间短路故障诊断方案,通过仿真实验验证了该方案的有效性,并得到以下结论:

1)该方案提出的融合判据综合了多种故障特征,并考虑了故障特征之间的关联性,能有效区分定子绕组匝间短路故障和其他常见异常运行工况。

2)该方案有效降低了诊断过程中的计算量,能直接植入现场已有的保护装置,不需要添加额外的设备,降低了应用成本。

3)由于本文中判据的选取和融合方案,以及故障诊断方案基于仿真数据和故障原理,在应用到实际现场时还需要一定的优化完善。

本工作成果发表在2024年第3期《电气技术》,论文标题为“基于判据融合的异步电动机定子绕组匝间短路诊断”,作者为张俊华。


x